Нэмэлт элсэлтийн шалгалтанд тэнцсэн суралцагчдын анхааралд
ШУТИС-ийн Ахлах сургулийн 2019-2020 оны хичээлийн жилийн нэмэлт элсэлтэнд тэнцсэн суралцагчид 2019.09.02-ны 07:40 цагт хичээлийн бэлтгэл ханган сурагчийн дүрэмт хувцастай ирнэ.
Анги хувиарлалт 2019.09.02-ны өдөр танилцуулна.
Жич: Элсэгч нь 2019.09.02-ны дотор дараах бичиг баримтыг бүрдүүлэн авч ирнэ.
.jpg)
.jpg)
Элсэлтийн комисс
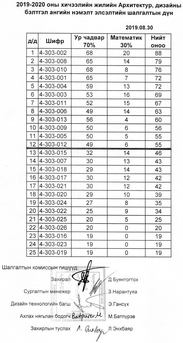
2019.08.30
SEAMO 2025 (ЗҮҮН ӨМНӨД АЗИЙН МАТЕМАТИКИЙН ОЛИМПИАД)
ШУТИС-ИЙН ХАРЬЯА ЕРӨНХИЙ БОЛОВСРОЛЫН АХЛАХ СУРГУУЛЬ НЬ БУСАНЫ “MEISTER” АХЛАХ СУРГУУЛЬТАЙ ХАМТЫН АЖИЛЛАГААНЫ САНАМЖ БИЧИГ БАЙГУУЛАВ.
“Hugo and Color ” улсын XVI олимпиад
Шинжлэх ухаан технологийн их сургуулийн нэрэмжит “ИРЭЭДҮЙН ИНЖЕНЕРҮҮД 2025” улсын олимпиад
2024-2025 оны хичээлийн жилийн элсэлтийн шалгалтын дүн.